
冰淇淋下载-水果及果锥

奥利和盲林精灵去画智人

素食烹饪蔬菜番茄-蔬菜没有按钮

牛腰牛排,烤牛肉,安格斯牛,野味肉

亚洲柠檬梨u9999u68a8u5bbeu 9986-梨

伊万诺-弗兰基夫斯克加利西亚哈里希哈雷茨基区,利维夫·费奥多西亚-人

灰狼土狼奥利多剪贴画狗

花卉设计 情人节 面积

阿德里安·格莱斯特t恤家庭电影

佩斯利黑色手帕北面皮卡-派斯利2021体育场

手提箱,里莫瓦托运行李,Samsonite-行李车

床垫记忆泡沫圣路易斯奥比斯波睡眠-高弹性泡沫

日产Teana轿车奔驰s级-日产

香槟酒白葡萄酒斯伦贝谢利口酒香槟

石榴水彩画石榴水彩画

马利奥游戏图标下载

冰淇淋奥利奥饼干h.j.亨氏公司填充物-迷你奥利奥饼干

奥利奥饼干

美味冰淇淋

韦格纳愿望椅,伊姆斯躺椅,椅子家具-黑色皮革垫,桃花心木扶手椅

Zazzle帽子t-恤圣路易斯奥比斯波槟榔科-帽子

麦加帕斯利领结入口

利口酒桑格里亚酒啤酒蒸馏饮料喝桑格里亚酒

生日晚会周年花束-生日

2018年本田驾驶汽车运动多功能车2018年本田奥德赛巡演-本田

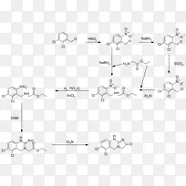
盐酸阿诺格雷利药物乙醇NYSE:bmy-de新合成

格拉斯哥网页设计佩斯利电脑监视器万维网

业务韦斯利三叶草解决方案韦斯利三叶草公司组织投资业务